题目内容
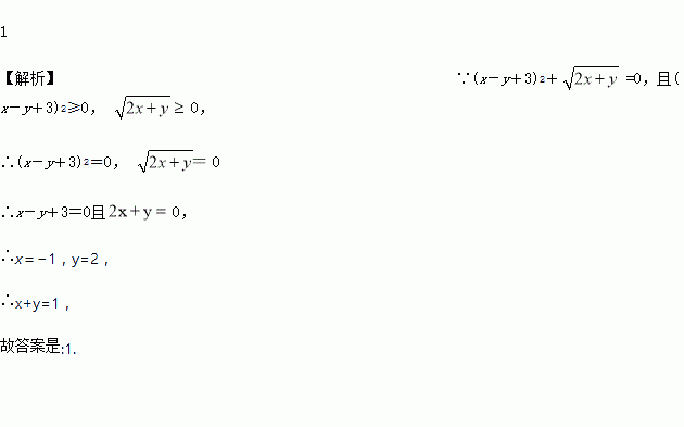
若(x-y+3)2+=0,则x+y的值为________.
不等式-3x≥6的解集在数轴上表示为( )
计算:
(1)–3+4+7–5 (2)(–2)×3+8÷()
(3)(1–+)×(–48) (4)
下列各组数中,互为相反数的是( )
A. 3和﹣3 B. ﹣3和 C. ﹣3和 D. 和3
已知: ∠AOB,点M、N.
求作:点P,使点P在∠AOB的平分线上,且PM=PN.(要求:用尺规作图,保留作图痕迹,不写作法)
25的平方根为________;﹣64的立方根为________; 的算术平方根是________.
下列计算正确的是( )
A. =±2 B. =-3 C. = -4 D. =3
如图是二次函数y=ax2+bx+c的部分图象,由图象可知不等式ax2+bx+c<0的解集是( )
A. ﹣1<x<5 B. x>5 C. x<﹣1或x>5 D. x<﹣1且x>5
(6分)如图,一农户要建一个矩形羊圈,羊圈的一边利用长为12m的住房墙,另外三边用25m长的建筑材料围成,为方便进出,在垂直于住房墙的一边留一个1m宽的门,所围矩形羊圈的长、宽分别为多少时,羊圈面积为80m2?