搜索
题目内容
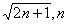
如图,在平面直角坐标系中,点A
1
是以原点O为圆心,半径为2的圆与过点(0,1)且平行于x轴的直线
l
1
的一个交点;点A
2
是以原点O为圆心,半径为3的圆与过点(0,2)且平行于x轴的直线
l
2
的一个交点;……按照这样的规律进行下去,点An的坐标为( )。
试题答案
相关练习册答案
(
)
练习册系列答案
1加1阅读好卷系列答案
专项复习训练系列答案
初中语文教与学阅读系列答案
阅读快车系列答案
完形填空与阅读理解周秘计划系列答案
英语阅读理解150篇系列答案
奔腾英语系列答案
标准阅读系列答案
53English系列答案
考纲强化阅读系列答案
相关题目
如图,在平面直角坐标中,四边形OABC是等腰梯形,CB∥OA,OA=7,AB=4,∠COA=60°,点P为x轴上的一个动点,但是点P不与点0、点A重合.连接CP,D点是线段AB上一点,连接PD.
(1)求点B的坐标;
(2)当∠CPD=∠OAB,且
BD
AB
=
5
8
,求这时点P的坐标.
(2012•渝北区一模)如图,在平面直角坐标xoy中,以坐标原点O为圆心,3为半径画圆,从此圆内(包括边界)的所有整数点(横、纵坐标均为整数)中任意选取一个点,其横、纵坐标之和为0的概率是
5
29
5
29
.
如图,在平面直角坐标中,等腰梯形ABCD的下底在x轴上,且B点坐标为(4,0),D点坐标为(0,3),则AC长为
5
5
.
如图,在平面直角坐标xOy中,已知点A(-5,0),P是反比例函数
y=
k
x
图象上一点,PA=OA,S
△PAO
=10,则反比例函数
y=
k
x
的解析式为( )
A.
y=
8
x
B.
y=
-8
x
C.
y=
-12
x
D.
y=
-16
x
如图,在平面直角坐标中,四边形OABC是等腰梯形,CB∥OA,OC=AB=4,BC=6,
∠COA=45°,动点P从点O出发,在梯形OABC的边上运动,路径为O→A→B→C,到达点C时停止.作直线CP.
(1)求梯形OABC的面积;
(2)当直线CP把梯形OABC的面积分成相等的两部分时,求直线CP的解析式;
(3)当△OCP是等腰三角形时,请写出点P的坐标(不要求过程,只需写出结果).
关 闭
试题分类
高中
数学
英语
物理
化学
生物
地理
初中
数学
英语
物理
化学
生物
地理
小学
数学
英语
其他
阅读理解答案
已回答习题
未回答习题
题目汇总
试卷汇总
练习册解析答案