题目内容
(附加题)已知抛物线y=x2+kx+b经过点P(2,-3),Q(-1,0).(1)求抛物线的解析式;
(2)设抛物线顶点为N,与y轴交点为A.求sin∠AON的值;
(3)设抛物线与x轴的另一个交点为M,求四边形OANM的面积.
【答案】分析:(1)抛物线经过点P、Q,利用待定系数法就可以求出函数的解析式.
(2)抛物线的顶点,根据顶点的公式,可以直接求出,过N作y轴的垂线NF,在直角△ONF中,根据三角函数的定义就可以求出.
(3)在抛物线的解析式中,令y=0,解得M的横坐标,则已知M的坐标.根据S四边形=S△OAN+S△ONM就可以得到.
解答:
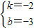
解:(1)解方程组
,
得
,
∴y=x2-2x-3.(3分)
(2)作NH⊥y轴于H.
顶点N(1,-4),NH=1,ON=
,sin∠AON=
=
.(6分)
(3)在y=x2-2x-3中,令x=0得y=-3,
∴A(0,-3),
令y=0得x=-1或3,
∴M(3,0).(8分)
S四边形=S△OAN+S△ONM=
+6=7.5(面积单位).(10分)
点评:本题主要考查了待定系数法求函数的解析式,以及三角函数的定义,同时要注意不规则的图形的面积可以转化为一些规则图形的面积的和来求解.
(2)抛物线的顶点,根据顶点的公式,可以直接求出,过N作y轴的垂线NF,在直角△ONF中,根据三角函数的定义就可以求出.
(3)在抛物线的解析式中,令y=0,解得M的横坐标,则已知M的坐标.根据S四边形=S△OAN+S△ONM就可以得到.
解答:
得
∴y=x2-2x-3.(3分)
(2)作NH⊥y轴于H.
顶点N(1,-4),NH=1,ON=
(3)在y=x2-2x-3中,令x=0得y=-3,
∴A(0,-3),
令y=0得x=-1或3,
∴M(3,0).(8分)
S四边形=S△OAN+S△ONM=
点评:本题主要考查了待定系数法求函数的解析式,以及三角函数的定义,同时要注意不规则的图形的面积可以转化为一些规则图形的面积的和来求解.
练习册系列答案
相关题目