题目内容
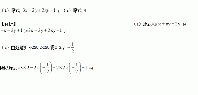
已知: ,
(1)求的值(结果用含x和y的代数式表示)
(2)若,求(1)中代数式的值。
解方程:(1);(2)(x-3)2=2(3-x)
对于二次函数和一次函数,把称为这两个函数的“再生二次函数”,其中t是不为零的实数,其图象记作抛物线E. 现有点A(2,0)和抛物线E上的点B(-1,n),
请完成下列任务:
【尝试】
(1)当t=2时,抛物线的顶点坐标为 ;
(2)点A (填在或不在)抛物线E上;
(3)n的值为 .
【发现】
通过(2)和(3)的演算可知,对于t取任何不为零的实数,抛物线E总过定点,坐标为 .
【应用】
二次函数是二次函数和一次函数的一个“再生二次函数”吗?如果是,求出t的值;如果不是,说明理由.
已知反比例函数的图象经过A(-3,2),那么此反比例函数的关系式为____________.
在正方形网格中,△ABC的位置如图所示,则的值为:( )
A. B. C. D.
当m为整数,代数式的值也是整数时,m的值为_________
电子跳蚤游戏盘(如图)为△ABC,AB=8,AC=9,BC=10,如果电子跳蚤开始时在BC边的P0点,BP0=4,第一步跳蚤从P0跳到AC边上P1点,且CP1=CP0;第二步跳蚤从P1跳到AB边上P2 点,且AP1=AP2 ;第三步跳蚤从P2跳回到BC边上P3点,且BP3=BP2;……跳蚤按上述规则跳下去,第次落点为Pn,则P4与P2014之间的距离为( )
A. 0 B. 1 C. 4 D. 5
计算:(1)-+2; (2) +6 -2 .
如图,以点P(-1,0)为圆心的圆,交x轴于B、C两点(B在C的左侧),交y轴于A、D两点(A在D的下方),AD=,将△ABC绕点P旋转180°,得到△MCB.
(1)求B、C两点的坐标;
(2)请在图中画出线段MB、MC,并判断四边形ACMB的形状(不必证明),求出点M的坐标;
(3)动直线l从与BM重合的位置开始绕点B顺时针旋转,到与BC重合时停止,设直线l与CM交点为E,点Q为BE的中点,过点E作EG⊥BC于G,连接MQ、QG.请问在旋转过程中∠MQG的大小是否变化?若不变,求出∠MQG的度数;若变化,请说明理由.