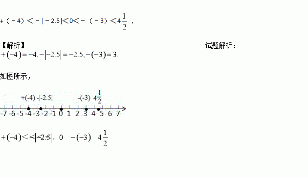
题目内容
把下列各数在数轴上表示,并从小到大的顺序用“<”连接起来.
+(﹣4),4
,0,﹣|﹣2.5|,﹣(﹣3).
练习册系列答案
相关题目
扬州市第26路公交车沿文昌路东西方向行驶,如果把石塔寺站台记为0,向东行驶记为正,向西行驶记为负,其中一辆车从石塔寺站台出发以后行驶的路程如下表(单位:km):
序号 | 1 | 2 | 3 | 4 | 5 | 6 | 7 |
路程 | +5 | -3 | +10 | -8 | -6 | +12 | -10 |
(1)该车最后是否回到了石塔寺?为什么?
(2)该辆车离开出发点最远是多少千米?
(3)这辆车在上述过程中一共行驶了多少路程?
(4)若汽车耗油量为3升/千米,共耗油多少升?