搜索
题目内容
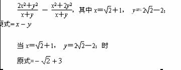
先化简下式,再求值:
-
,其中
x
=
+1,
y
=2
—2;
试题答案
相关练习册答案
练习册系列答案
西城学科专项测试系列答案
小考必做系列答案
小考实战系列答案
小考复习精要系列答案
小考总动员系列答案
小升初必备冲刺48天系列答案
68所名校图书小升初高分夺冠真卷系列答案
伴你成长周周练月月测系列答案
小升初金卷导练系列答案
萌齐小升初强化模拟训练系列答案
相关题目
先化简下式,再求值.
x
2
+1
x+2
-(
2
x
2
-2x
x
2
+x-2
-
x
3
+2
x
2
+4x
x
3
-8
)÷
6-x
2x-
x
2
,其中x=
1
5
+2
.
先化简下式,再求值:
-3(2
y
2
-xy)+2[
x
2
-(2
x
2
-xy-3
y
2
)],其中x=2,y=-
1
5
.
(1)计算:8-2
3
÷(-4)×(-7+5)
(2)先化简下式,再求值:5(3a
2
b-ab
2
)-4(-ab
2
+3a
2
b);其中a=-2,b=3.
(3)老师在黑板上出了一道解方程的题
2x-1
3
=1-
x+2
4
,小明马上举起了手,要求到黑板上去做,他是这样做的:①4(2x-1)=1-3(x+2);②8x-4=1-3x-6;③8x+3x=1-6+4;④11x=-1;⑤
x=-
1
11
.
老师说:小明解一元一次方程的一般步骤都掌握了,但解题时有一步做错了.请你指出他错在第
步(填编号),然后再细心地解下面的方程,相信你一定能做对.
解方程:
x+1
2
-
2-3x
3
=1
先化简下式,再求值:5(2a+b)
2
-2(2a+b)-4(2a+b)
2
+3(2a+b),其中
a=
1
2
,b=9
.
先化简下式,再求值:
1
2
x-2(x-
1
3
y
2
)+(-
3
2
x+
1
3
y
2
)
,其中
|x+2|+(y-
1
2
)
2
=0
.
关 闭
试题分类
高中
数学
英语
物理
化学
生物
地理
初中
数学
英语
物理
化学
生物
地理
小学
数学
英语
其他
阅读理解答案
已回答习题
未回答习题
题目汇总
试卷汇总
练习册解析答案