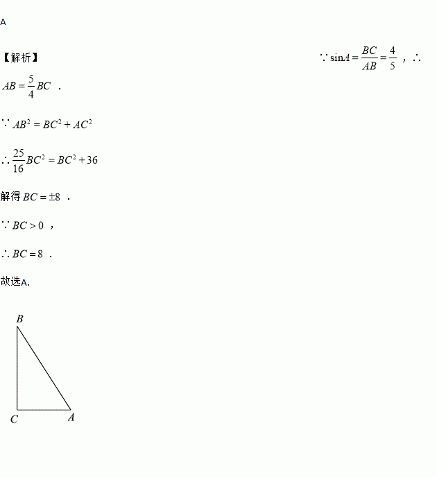
题目内容
中, , , ,那么等于( ).
A. B. C. D.
如图,在平面直角坐标系中,已知OA=12厘米,OB=6厘米.点P从点O开始沿OA边向点A以1厘米/秒的速度移动;点Q从点B开始沿BO边向点O以1厘米/秒的速度移动.如果P、Q同时出发,用t(秒)表示移动的时间(0≤t≤6),那么,当t为何值时,△POQ与△AOB相似?
如图,矩形ABCD的边平行于坐标轴,对角线BD经过坐标原点,点C在反比例函数y=的图象上.若点A的坐标为(﹣2,﹣2),则k=( )
A. 2 B. 4 C. 8 D. 16
二次函数,若,则它的图像一定过点__________.
如图,一次函数与二次函数图象相交于、两点,则函数的图象可能是( ).
已知:如图,在△ABC中,BC=AC,以BC为直径的⊙O与边AB相交于点D,DE⊥AC,垂足为点E.
(1)求证:点D是AB的中点;
(2)判断DE与⊙O的位置关系,并证明你的结论;
(3)若⊙O的直径为18,cosB=,求DE的长.
如图,AD和AC分别是⊙O的直径和弦,且∠CAD=30°,OB⊥AD,交AC于点B,若OB=3,则BC=__.
(14分)如图,在平面直角坐标系中,抛物线y=mx2﹣8mx+4m+2(m>2)与y轴的交点为A,与x轴的交点分别为B(x1,0),C(x2,0),且x2﹣x1=4,直线AD∥x轴,在x轴上有一动点E(t,0)过点E作平行于y轴的直线l与抛物线、直线AD的交点分别为P、Q.
(1)求抛物线的解析式;
(2)当0<t≤8时,求△APC面积的最大值;
(3)当t>2时,是否存在点P,使以A、P、Q为顶点的三角形与△AOB相似?若存在,求出此时t的值;若不存在,请说明理由.
一个人从A点出发向北偏东30°方向走到B点,再从B点出发向南偏东15°方向走到C点,那么∠ABC等于________ 度