题目内容
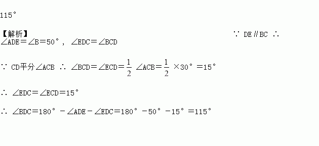
如图,已知CD平分ACB,DE∥BC,∠B=50°,∠ACB=30°,求∠BDC的度数。
一副三角板按如图所示叠放在一起,若固定,将绕着公共顶点,按顺时针方向旋转度,当的一边与的某一边平行时,相应的旋转角的度数为_________________。
在平面直角坐标系中,点(4,-3)关于原点对称的点是( )
A. (-4,-3) B. (-4,3) C. (4,-3) D. (4,3)
(1)= ; (2)25的算术平方根是 ;
(3)= ;
(4)命题“对顶角相等”的题设是 ,结论是 .
在-1.732, ,π, 3, 2+,3.212212221…,3.14这些数中,无理数的个数为( )
A. 5 B. 2 C. 3 D. 4
计算:
如图,AB∥EF,AB=EF,添加下面哪个条件不能使△ABC≌△EFD.( )
A. BD=FC B. ∠A=∠E C. AC∥DE D. AC=ED
化简:.
对于反比例函数,当时,y的取值范围是
A. B. C. D.