题目内容
若是方程x﹣2y=0的解,则3a﹣6b﹣3=_____.
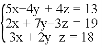
若 则5x﹣y﹣z﹣1的立方根是_____.
关于x的方程9x-2=kx+7的解是自然数,则整数k的值为________ 、________ 、________ .
已知方程(a﹣2)x|a|﹣1+6=0是关于x的一元一次方程,则a的值为( )
A. ±2 B. ﹣2 C. 1 D. 2
解不等式组,请结合题意填空,完成本题的解答.
(1)解不等式(1),得 ;
(2)解不等式(2),得 ;
(3)把不等式(1)和(2)的解集在数轴上表示出来:
(4)原不等式组的解集为 .
若不等式组的解集为﹣2<x<3,则a的取值范围是( )
A. a= B. a=﹣2 C. a≥﹣2 D. a≤﹣1
估计的值在两个整数( )
A. 3与4之间 B. 5与6之间 C. 6与7之间 D. 3与10之间
某超市销售一批创意闹钟,先以55元个的价格售出60个,然后调低价格,以50元个的价格将剩下的闹钟全部售出,销售总额超过了5500元,这批闹钟至少有 个.
A. 44 B. 45 C. 104 D. 105
已知m是方程x2-2x-2=0 的根,且m>0,求代数式的值