题目内容
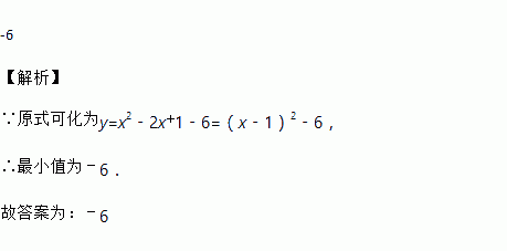
二次函数y=x2﹣2x﹣5的最小值是______.
单项式的系数是__,次数是__.
解分式方程: .
下列四张扑克牌图案,属于中心对称的是( )
A. B. C. D.
如图,在△ABC中,已知AB=AC,将△ABC绕点A按逆时针方向旋转100°,得到△ADE,连接BD,CE交于点F.
(1)求证:△ABD≌△ACE;
(2)求∠ACE的度数.
二次函数y=ax2+bx+c (a≠0)的图象如图所示,对称轴是x=﹣1.下列结论:①ab>0;②b2>4ac;③a﹣b+2c<0;④8a+c<0.其中正确的是( )
A. ③④ B. ①②③ C. ①②④ D. ①②③④
如图1,△ABC中,CD⊥AB于D,且BD:AD:CD=2:3:4,
(1)试说明△ABC是等腰三角形;
(2)已知S△ABC=40cm2,如图2,动点M从点B出发以每秒1cm的速度沿线段BA向点A运动,同时动点N从点A出发以相同速度沿线段AC向点C运动,当其中一点到达终点时整个运动都停止.设点M运动的时间为t(秒),
①若△DMN的边与BC平行,求t的值;
②若点E是边AC的中点,问在点M运动的过程中,△MDE能否成为等腰三角形?若能,求出t的值;若不能,请说明理由.
等腰三角形一腰上的高与另一腰的夹角为,则该等腰三角形的底角的度数为______.
如图,四边形是矩形,为上一点,且,为对角线上一点,于点,于点.
求证:;
试判断和,的数量关系并说明理由.