题目内容
.
如图,在△ABC中,∠B=46°,∠C=54°,AD平分∠BAC,交BC于D,DE∥AB,交AC于E,则∠ADE的大小是( )
A. 45° B. 54° C. 40° D. 50°
若方程组 的解x、y的和为0,则k的值为______.
观察下列各式:
……
猜想:
(1) ;
(2)如果为正整数,那么 .
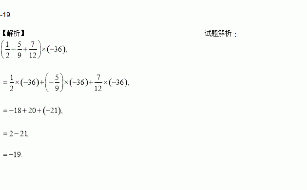
8+
+15+ (+6);
若规定,则的值为________.
如图,在平面直角坐标系中,抛物线与x轴的交点为A,B(点A在点B的左侧),与y轴的交点为C,连结BC.点M是抛物线上A,C之间的一个动点,过点M作MN∥BC,分别交x轴、抛物线于D,N,过点M作
EF⊥x轴,垂足为F,并交直线BC于点E,
(1)求点A,B,C的坐标.
(2)当点M恰好是EF的中点,求BD的长.
(3)连接DE,记△DEM,△BDE的面积分别为S1,S2 ,当BD=1时,请求S2-S1的值.
如图,已知方格纸中是个相同的正方形,则____度.