题目内容
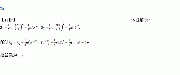
如图,已知在Rt△ABC中,AB=4,分别以AC、BC为直径作半圆,面积分别记为,则的值等于______;
因式分【解析】m2﹣4n2=_____.
如图,直线AB是某天然气公司的主输气管道,点C、D是在AB异侧的两个小区,现在主输气管道上寻找支管道连接点,向两个小区铺设管道。有以下两个方案:
方案一:只取一个连接点P,使得像两个小区铺设的支管道总长度最短,在图中标出点P的位置,保留画图痕迹;
方案二:取两个连接点M和N,使得点M到C小区铺设的支管道最短,使得点N到D小区铺设的管道最短. 在途中标出M、N的位置,保留画图痕迹;
设方案一中铺设的支管道总长度为L1,方案二中铺设的支管道总长度为L2,则L1与L2的大小关系为:L1_______L2(填“>”、“<”或“=”)理由是____________________.
在下列所给出的坐标中,在第二象限的是( )
A. (2,3) B. (2,-3) C. (-2,-3) D. (-2,3)
如图,一架云梯长25米,斜靠在一面墙上,梯子靠墙的一端距地面24米。(1)这个梯子底端离墙多少米?(2)如果梯子的顶端下滑了4米,那么梯子的底部在水平方向也滑动了4米吗?如果不是,那滑动了几米?
下列命题中的假命题是( )
A. 在△ABC中,若∠A=∠C-∠B ,则△ABC是直角三角形
B. 在△ABC中,若,则△ABC是直角三角形
C. 在△ABC中,若∠A、∠B、∠C的度数比是5:2:3,则△ABC是直角三角形
D. 在△ABC中,若三边长a:b:c=2:2:3 ,则△ABC是直角三角形
如图,在△ABC中,AD⊥BC与D,AB=17,BD=15,DC=6,则AC的长为( ).
(A)11 (B)10 (C)9 (D)8
在某学校“经典古诗文”诵读比赛中,有21名同学参加某项比赛,预赛成绩各不相同,要取前10名参加决赛,小颖已经知道了自己的成绩,她想知道自己能否进入决赛,只需要再知道这21名同学成绩的
A. 平均数 B. 中位数 C. 众数 D. 方差
已知正数a,b,c,满足ab+a+b=bc+b+c=ca+c+a=99,则(a+1)(b+1)(c+1)=_____.