题目内容
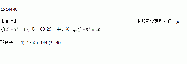
根据下图中的数据,确定A=_______,B=_______,x=_______.
图①是一个长为2a,宽为2b(a>b)的长方形,用剪刀沿图中虚线(对称轴)剪开,把它分成四块形状和大小都一样的小长方形,然后按图②那样拼成一个正方形,则中间空的部分的面积是( )
A. ab B. (a+b)2
C. (a-b)2 D. a2-b2
如图,在□ABCD中,已知AC,BD相交于点O,两条对角线的长度和为24cm,BC长为8cm,则△AOD的周长为________.
已知平行四边形ABCD的面积为8,O为两对角线的交点,则△AOB的面积是( )
A. 1 B. 2 C. 4 D. 6
如图,AC⊥CE,AD=BE=13,BC=5,DE=7,那么AC= ____________.
有一个面积为1的正方形,经过一次“生长”后,在它的左右肩上生出两个小正方形(如图1),其中,三个正方形围成的三角形是直角三角形,再经过一次“生长”后,生出了4个正方形(如图2),如果按此规律继续“生长”下去,它将变得“枝繁叶茂”.在“生长”了2 017次后形成的图形中所有正方形的面积和是( )
图1 图2
A. 2015 B. 2016 C. 2017 D. 2018
操作与探究.
(1)分别画出图①中“”和“”关于直线l的对称图形(画出示意图即可).
(2)图②中小冬和小亮上衣上印的字母分别是什么?
(3)把字母“”和“”写在薄纸上,观察纸的背面,写出你看到的字母背影.
(4)小明站在五个学生的身后,这五个学生正向前方某人用手势示意一个五位数,从小明站的地方看(如图③所示),这个五位数是23456.请你判断出他们示意的真实五位数是多少?
如图是小明在平面镜里看到的电子钟示数,这时的实际时间是( )
A. 12:01 B. 10:51 C. 10:21 D. 15:10
已知抛物线y= -(x-2)2 的图像上有两点(2017,y2)和(2018,y2),则y1与y2的大小关系是_________