题目内容
我市正在修建的轻轨17号线全长为41000米,把数41000用科学记数法表示为________ 。
如图,函数y=2x和y=ax+4的图象相交于点A(m,3),则不等式2x<ax+4的解集为( )
A. x< B. x<3 C. x> D. x>3
共享单车近日成为市民新宠,越来越多的居民选择共享单车作为出行的交通工具,某中学课外兴趣小组为了了解某小区居民每周使用共享单车时间的情况,随机抽取了该小区部分使用共享单车的居民进行调查(问卷调查表如图所示),并用调查结果绘制了图①、图②两幅每周使用共享单车时间的人数统计图(均不完整),请根据统计图解答以下问题:
(1)本次接受问卷调查的共有 人;在扇形统计图中“D”选项所占的百分比为 ;
(2)扇形统计图中,“B”选项所对应扇形圆心角为 度;
(3)请补全条形统计图;
(4)若该小区共有1200名居民,请你估计该小区使用共享单车的时间在“A”选项的有多少人?
4 的算术平方根是( )
A. 2 B. ±2 C. 16 D. ±16
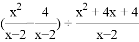
先化简,再求值: ,其中x是方程x2﹣2x=0的根.
观察下列个图中小圆点的摆放规律,按这样的规律急促摆放下去,
则第⑦个图形的小圆点的个数为( )
A. 62 B. 64 C. 66 D. 68
下列运算正确的是( )
A. B. C. D.
如图所示,在边长为a的正方形中,剪去一个边长为b的小正方形(a>b),将余下部分拼成一个梯形,根据两个图形阴影部分面积的关系,可以得到一个关于a、b的恒等式为( )
A. (a﹣b)2=a2﹣2ab+b2 B. (a+b)2=a2+2ab+b2
C. a2﹣b2=(a+b)(a﹣b) D. a2+ab=a(a+b)
如果抛物线y=ax2﹣2ax+1经过点A(﹣1,7)、B(x,7),那么x=_________.