题目内容
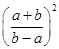
设a>b>0,a2+b2﹣6ab=0,则(
)2的值等于________.
【答案】
2.
【解析】
试题分析:将几个式子的和看成一个整体,由题,由a2+b2﹣6ab=0可得
(b﹣a)2=4ab,…①,(a+b)2=8ab,…②,②÷①得
=2.
考点:整体思想.
练习册系列答案
相关题目
题目内容
设a>b>0,a2+b2﹣6ab=0,则(
)2的值等于________.
2.
【解析】
试题分析:将几个式子的和看成一个整体,由题,由a2+b2﹣6ab=0可得
(b﹣a)2=4ab,…①,(a+b)2=8ab,…②,②÷①得
=2.
考点:整体思想.