题目内容
如图,△ABC内接于⊙O,AB=6,AC=4,D是AB边上一点,P是优弧BAC的中点,连接PA、PB、PC、PD.(1)当BD的长度为多少时,△PAD是以AD为底边的等腰三角形?并证明;
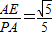
(2)在(1)的条件下,若cos∠PCB=
【答案】分析:(1)根据等弧对等弦以及全等三角形的判定和性质进行求解;
(2)过点P作PE⊥AD于E.根据锐角三角函数的知识和垂径定理进行求解.
解答:解:(1)当BD=AC=4时,△PAD是以AD为底边的等腰三角形.
∵P是优弧BAC的中点,
∴弧PB=弧PC.
∴PB=PC.
又∵∠PBD=∠PCA(圆周角定理),
∴当BD=AC=4,△PBD≌△PCA.
∴PA=PD,即△PAD是以AD为底边的等腰三角形.
(2)过点P作PE⊥AD于E,

由(1)可知,
当BD=4时,PD=PA,AD=AB-BD=6-4=2,
则AE=
AD=1.
∵∠PCB=∠PAD,
∴cos∠PAD=cos∠PCB=
,
∴PA=
.
点评:综合运用了等弧对等弦的性质、全等三角形的判定和性质、锐角三角函数的知识以及垂径定理.
(2)过点P作PE⊥AD于E.根据锐角三角函数的知识和垂径定理进行求解.
解答:解:(1)当BD=AC=4时,△PAD是以AD为底边的等腰三角形.
∵P是优弧BAC的中点,
∴弧PB=弧PC.
∴PB=PC.
又∵∠PBD=∠PCA(圆周角定理),
∴当BD=AC=4,△PBD≌△PCA.
∴PA=PD,即△PAD是以AD为底边的等腰三角形.
(2)过点P作PE⊥AD于E,
由(1)可知,
当BD=4时,PD=PA,AD=AB-BD=6-4=2,
则AE=
∵∠PCB=∠PAD,
∴cos∠PAD=cos∠PCB=
∴PA=
点评:综合运用了等弧对等弦的性质、全等三角形的判定和性质、锐角三角函数的知识以及垂径定理.
练习册系列答案
相关题目