题目内容
已知关于x的一元二次方程x2-2x-a=0.(1)如果此方程有两个不相等的实数根,求a的取值范围;
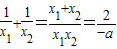
(2)如果此方程的两个实数根为x1,x2,且满足
【答案】分析:(1)方程有两个不相等的实数根,必须满足△=b2-4ac>0,从而求出a的取值范围.
(2)利用根与系数的关系,根据
+
=
即可得到关于a的方程,从而求得a的值.
解答:解:(1)△=(-2)2-4×1×(-a)=4+4a.
∵方程有两个不相等的实数根,
∴△>0.即4+4a>0
解得a>-1.
(2)由题意得:x1+x2=2,x1•x2=-a.
∵
,
,
.
∴a=3.
点评:本题综合考查了一元二次方程的根的判别式和根与系数的关系.
(2)利用根与系数的关系,根据
解答:解:(1)△=(-2)2-4×1×(-a)=4+4a.
∵方程有两个不相等的实数根,
∴△>0.即4+4a>0
解得a>-1.
(2)由题意得:x1+x2=2,x1•x2=-a.
∵
∴a=3.
点评:本题综合考查了一元二次方程的根的判别式和根与系数的关系.
练习册系列答案
相关题目
已知关于x的一元二次x2-6x+k+1=0的两个实数根x1,x2,
+
=1,则k的值是( )
| 1 |
| x1 |
| 1 |
| x2 |
| A、8 | B、-7 | C、6 | D、5 |