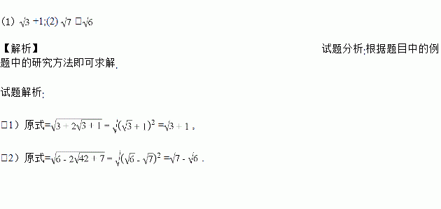
题目内容
有这样一类题目:将
化简,如果你能找到两个数m,n,使m2+n2=a,且mn=
,则a±2
,变成m2+n2+2mn=(m±n)2开方,从而使得
化简.
例如:化简![]()
因为3±2
=1+2±2
=12+(
)2+2
=(1+
)2,
所以
=
=|1±
|=
±1.
仿照上例化简下列各式:
(1)
;
(2)
.
练习册系列答案
相关题目
题目内容
有这样一类题目:将
化简,如果你能找到两个数m,n,使m2+n2=a,且mn=
,则a±2
,变成m2+n2+2mn=(m±n)2开方,从而使得
化简.
例如:化简![]()
因为3±2
=1+2±2
=12+(
)2+2
=(1+
)2,
所以
=
=|1±
|=
±1.
仿照上例化简下列各式:
(1)
;
(2)
.