题目内容
如图,在边长为8的正方形ABCD中,点O为AD上一动点(4<OA<8),以O为圆心,OA的长为半径的圆交边CD于点M,连接OM,过点M作⊙O的切线交边BC于N.(1)求证:△ODM∽△MCN;
(2)设DM=x,求OA的长(用含x的代数式表示);
(3)在点O的运动过程中,设△CMN的周长为P,试用含x的代数式表示P,你能发现怎样的结论?
【答案】分析:(1)依题意可得∠OMC=∠MNC,然后可证得△ODM∽△MCN.
(2)设DM=x,OA=OM=R,OD=AD-OA=8-R,根据勾股定理求出OA的值.
(3)由1可求证△ODM∽△MCN,利用线段比求出CN,MN的值.然后可求出△CMN的周长等于CM+CN+MN,把各个线段消去代入可求出周长.
解答:(1)证明:∵MN切⊙O于点M,
∴∠OMN=90°;(1分)
∵∠OMD+∠CMN=90°,∠CMN+∠CNM=90°;
∴∠OMD=∠MNC;(2分)
又∵∠D=∠C=90°;
∴△ODM∽△MCN,(3分)
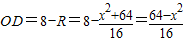
(2)解:在Rt△ODM中,DM=x,设OA=OM=R;
∴OD=AD-OA=8-R,(4分)
由勾股定理得:(8-R)2+x2=R2,(5分)
∴64-16R+R2+x2=R2,
∴
;(6分)
(3)解法一:∵CM=CD-DM=8-x,
又∵
,
且有△ODM∽△MCN,
∴
,
∴代入得到
;(7分)
同理
,
∴代入得到
;(8分)
∴△CMN的周长为P=
=(8-x)+(x+8)=16.(9分)
发现:在点O的运动过程中,△CMN的周长P始终为16,是一个定值.(10分)
解法二:在Rt△ODM中,
,
设△ODM的周长P′=
;(7分)
而△MCN∽△ODM,且相似比
;(8分)
∵
,
∴△MCN的周长为P=
.(9分)
发现:在点O的运动过程中,△CMN的周长P始终为16,是一个定值.(10分)
点评:本题考查的是相似三角形的判定,正方形的判定,勾股定理、切线性质和二次函数的综合运用等有关知识.
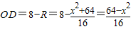
(2)设DM=x,OA=OM=R,OD=AD-OA=8-R,根据勾股定理求出OA的值.
(3)由1可求证△ODM∽△MCN,利用线段比求出CN,MN的值.然后可求出△CMN的周长等于CM+CN+MN,把各个线段消去代入可求出周长.
解答:(1)证明:∵MN切⊙O于点M,
∴∠OMN=90°;(1分)
∵∠OMD+∠CMN=90°,∠CMN+∠CNM=90°;
∴∠OMD=∠MNC;(2分)
又∵∠D=∠C=90°;
∴△ODM∽△MCN,(3分)
(2)解:在Rt△ODM中,DM=x,设OA=OM=R;
∴OD=AD-OA=8-R,(4分)
由勾股定理得:(8-R)2+x2=R2,(5分)
∴64-16R+R2+x2=R2,
∴
(3)解法一:∵CM=CD-DM=8-x,
又∵
且有△ODM∽△MCN,
∴
∴代入得到
同理
∴代入得到
∴△CMN的周长为P=
发现:在点O的运动过程中,△CMN的周长P始终为16,是一个定值.(10分)
解法二:在Rt△ODM中,
设△ODM的周长P′=
而△MCN∽△ODM,且相似比
∵
∴△MCN的周长为P=
发现:在点O的运动过程中,△CMN的周长P始终为16,是一个定值.(10分)
点评:本题考查的是相似三角形的判定,正方形的判定,勾股定理、切线性质和二次函数的综合运用等有关知识.
练习册系列答案
相关题目