题目内容
下列计算正确的是( )
A. B. C. D.
A. x4+x4=x16 B. (﹣2a)2=﹣4a2 C. x7÷x5=x2 D. m2•m3=m6
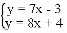
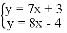
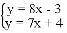
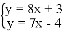
《九章算术》中有一道阐述“盈不足术”的问题:今有人共买物,人出八,盈三;人出七,不足四.问人数,物价几何?条件部分的译文为:现有一些人共同买一个物品,每人出8元,还盈余3元;每人出7元,则还差4元.若设共有x人,物品价格y元,则下面所列方程组正确的是( )
计算:
如图,已知平行四边形ABCD,AE⊥BC于E,AF⊥CD于F,∠ABC=60 ,AB=6,BC=8,则AF的长为( )
A. 8 B. C. D.
如图,在菱形ABCD中,∠A=60°,AB=4,O为对角线BD的中点,过O点作OE⊥AB,垂足为E.
(1)求∠ABD的度数;
(2)求线段BE的长.
如图,已知菱形OABC的顶点O(0,0),B(2,2),若菱形绕点O逆时针旋转,每秒旋转45°,则第60秒时,菱形的对角线交点D的坐标为( )
A. (1,-1) B. (-1,-1) C. (,0) D. (0,-)
如图,在Rt△ABC中,∠ACB=90°,点D,E分别是边AB,AC的中点,延长BC到点F,使CF=BC,连接EF.若AB=10,则EF的长是________.
实数在数轴上对应的点的位置如图所示,这四个数中最大的是( )