题目内容
按要求完成下列题目.
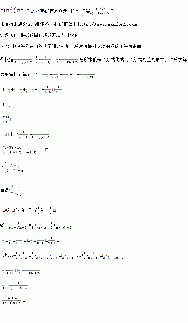
(1)求:
+
+
+…+
的值.
对于这个问题,可能有的同学接触过,一般方法是考虑其中的一般项,注意到上面和式的每一项可以写成
的形式,而
=
﹣
,这样就把
一项(分)裂成了两项.
试着把上面和式的每一项都裂成两项,注意观察其中的规律,求出上面的和,并直接写出
+
+
+…+
的值.
(2)若
=
+
①求:A、B的值:
②求:
+
+…+
的值.
练习册系列答案
相关题目
某工厂计划生产A,B两种产品共10件,其生产成本和利润如表
A种产品 | B种产品 | |
成本(万元/件) | 2 | 5 |
利润(万元/件) | 1 | 3 |
(1)若工厂计划获利14万元,问A,B两种产品应分别生产多少?
(2)若工厂计划投入资金不多于34万元,且获利多于14万元,问工厂有哪几种生产方案?