题目内容
计算:
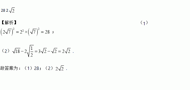
(1)(2)2=________;
(2) -2=________.
甲、乙两人5次射击命中的环数如下:甲:7,9,8,6,10;乙7,8,9,8,8.则这两人5次射击命中的环数的平均数甲_____乙,方差____.(填“>”“<”或“=”)
解下面的不等式(组),并把解集在数轴上表示出来:
(1) ; (2)
先化简,再求值: -,其中x=+1,y=-1.
实数a在数轴上的位置如图所示,化简: |a-1|+=___________.
化简2- (+4)得( )
A. -2 B. -4 C. -4 D. 8-4
已知,求的平方根.
的平方根是x,64的立方根是y,则x+y的值为( )
A. 3 B. 7 C. 3或7 D. 1或7
直线与轴交于点,则时, 的取值范围是________