题目内容
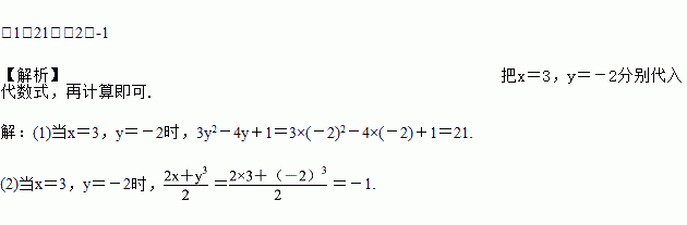
当x=3,y=-2时,求下列代数式的值.
(1)3y2-4y+1;(2).
若-4a+9与3a-5的值互为相反数,则a2-2(a+1)的值为________.
点A(﹣3,2)在反比例函数y=(k≠0)的图象上,则k的值是( )
A. ﹣6 B. ﹣ C. ﹣1 D. 6
“a的5倍与b的差”用代数式可表示为________.
下列各式符合代数式书写规范的是( )
A. a8 B. m﹣1元 C. D.
体育委员去买体育用品,已知一副羽毛球拍a元,一个篮球b元,则代数式4a+5b表示的意义为_____.
代数式2(y-2)的正确含义是( )
A. 2乘y减2 B. 2与y的积减去2
C. y与2的差的2倍 D. y的2倍减去2
分解因式:.
解方程:.