题目内容
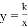
如图,是一个正方体纸盒的展开图,若在其中三个正方形A,B,C中分别填入适当的数,使得它们折成正方体后相对的面上两个数互为相反数,则填入正方形A,B,C中的三个数依次是( )
![]()
A. 1,﹣3,0 B. 0,﹣3,1 C. ﹣3,0,1 D. ﹣3,1,0
练习册系列答案
相关题目
下面是某公司16名员工每人所创的年利润(单位:万元)
5 3 3 5 5 10 8 5 3 5 5 8 3 5 8 5
(1)完成下列表格:
每人所创年利润/万元 | 10 | 8 | 5 | 3 |
人数 | 1 |
|
| 4 |
(2)这个公司平均每人所创年利润是多少?