题目内容
下图中的图形绕虚线旋转一周,可得到的几何体是( )
A. B. C. D.
5个棱长为1的正方体组成如图所示的几何体.
(1)该几何体的体积是__ __(立方单位),表面积是__ __(平方单位);
(2)画出该几何体的主视图和左视图.
二次函数的图象如图所示,则反比例函数与一次函数在同一坐标系内的大致图象是( )
如图,A、B两点分别位于一个池塘的两端,点C是AD的中点,也是BE的中点,若DE=20米,则AB=______.
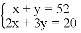
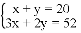
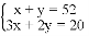
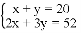
20位同学在植树节这天共种了52棵树苗,其中男生每人种3棵,女生每人种2棵,设男生有x人,女生有y人,根据题意,列方程组正确的是( )
A. B.
C. D.
如图①,某社会实践活动小组实地测量两岸互相平行的一段河的宽度,在河的南岸边点A处,测得河的北岸边点B在其北偏东45°方向,然后向西走60 m到达点C,测得点B在点C的北偏东60°方向,如图②.
(1)求∠CBA的度数;
(2)求出这段河的宽(结果精确到1 m,参考数据:≈1.41,≈1.73).
① ②
(题文)一水果商贩在批发市场按每千克1.8元批发了若干千克的西瓜进城出售,为了方便,他带了一些零钱备用.他先按市场价售出一些后,又降价出售.售出西瓜千克数x与他手中持有的钱数y元(含备用零钱)的关系如图13所示,结合图象回答下列问题:
(1)商贩自带的零钱是多少?
(2)降价前每千克西瓜出售的价格是多少?
(3)随后他按每千克降价0.5元将剩余的西瓜售完,这时他手中的钱(含备用的钱)是450元,问他一共批发了多少千克的西瓜?
(4)请问这个水果商贩一共赚了多少钱?
上周周末放学,小华的妈妈来学校门口接他回家,小华离开教室后不远便发现把文具盒遗忘在了教室里,于是以相同的速度折返回去拿,到了教室后碰到班主任,并与班主任交流了一下周末计划才离开,为了不让妈妈久等,小华快步跑到学校门口,则小华离学校门口的距离y与时间t之间的函数关系的大致图象是( )
若关于x的方程无解,则m的值为__________.