题目内容
如图,∠AOB=30°,点P是∠AOB内一点,PO=8,在∠AOB的两边分别有点R、Q(均不同于O),求△PQR周长的最小值.
(1)计算:2sin45°+(π﹣1)0﹣+|﹣2|;
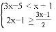
(2)解不等式组:
下列四个数中,最大的数是( )
A. ﹣2 B. ﹣1 C. 0 D.
如图,四边形ABCD为⊙O的内接四边形,已知∠BCD=120°,则∠BAD=___度.
已知反比例函数的图像经过点A(-4,2),则的值为( )
A. 2 B. -4 C. 8 D. -8
如图,已知:AD平分∠BAC,AC=AB+BD,∠B=56°,则∠C= .
如图,直线a,b,c表示三条公路,现要建一个货物中转站,要求它到三条公路的距离相等,则可供选择的地址有( )
A. 一处 B. 两处 C. 三处 D. 四处
如图,直线和相交于点A,分别与x轴相交于B、C两点,则的面积是_________.
的相反数是( )
A. B. C. - D. -