题目内容
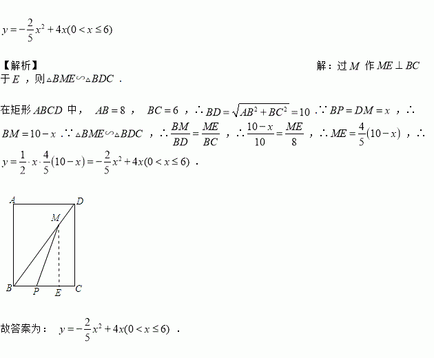
如图,矩形中, , , 是线段上一点,( 不与重合),是上一点,且BP=DM,设, 的面积为,则与之间的函数关系式为__________.
精元电子厂准备生产5400套电子元件,甲车间独立生产一半后,由于要尽快投入市场,乙车间也加入了该电子元件的生产,若乙车间每天生产的电子元件套数是甲车间的1.5倍,结果用30天完成任务,问甲车间每天生产电子元件多少套?在这个问题中设甲车间每天生产电子元件x套,根据题意可得方程为( )
A. B.
C. D.
如图,从D处开渠引水到C处,则渠道CD最短,依据是__________.
某气象台发现:在某段时间里,如果早晨下雨,那么晚上是晴天;如果晚上下雨,那么早晨是晴天,已知这段时间有9天下了雨,并且有6天晚上是晴天,7天早晨是晴天,则这一段时间有( )
A.9天 B.11天 C.13天 D.22天
列方程解应用题:
, 两地相距千米,甲由向,先走分钟,然后乙由向走,已知乙速度比甲每小时快千米,两人在距地千米的处相遇,求甲、乙两人的速度分别是多少?
直线与抛物线的交点坐标为__________.
,其中, ,则这个二次函数的图像可能是( ).
如图,三条直线a,b,c交于一点,∠1,∠2,∠3的大小顺序是________.
如果一个正数的两个平方根是a+9和2a+15,则这个数为____________