题目内容
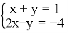
已知方程组
的解也是方程3x﹣2y=0的解,则k=_____.
练习册系列答案
相关题目
甲、乙两组同学进行一分钟引体向上测试,评分标准规定,做6个以上含6个![]()
为合格,做9个以上![]()
含9个![]()
为优秀,两组同学的测试成绩如下表:![]()
成绩 | 4 | 5 | 6 | 7 | 8 | 9 |
甲组 | 1 | 2 | 5 | 2 | 1 | 4 |
乙组 | 1 | 1 | 4 | 5 | 2 | 2 |
现将两组同学的测试成绩绘制成如下不完整的统计图表:
![]()
统计量 | 平均数 | 中位数 | 众数 | 方差 | 合格率 | 优秀率 |
甲组 | a | 6 | 6 |
|
|
|
乙组 |
| b | 7 |
|
|
|
将条形统计图补充完整;![]()
统计表中的![]()
______,![]()
______;![]()
人说甲组的优秀率高于乙组优秀率,所以甲组成绩比乙组成绩好,但也有人说乙组成绩比甲组成绩好,请你给出两条支持乙组成绩好的理由.![]()