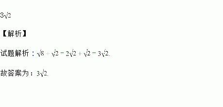
题目内容
__________.
练习册系列答案
相关题目
某学校组织学生进行社会主义核心价值观的知识竞赛,进入决赛的共有20名学生,他们的决赛成绩如下表所示:
决赛成绩/分 | 95 | 90 | 85 | 80 |
人数 | 4 | 6 | 8 | 2 |
那么20名学生决赛成绩的众数和中位数分别是( )
A. 85,90 B. 85,87.5 C. 90,85 D. 95,90
题目内容
__________.
某学校组织学生进行社会主义核心价值观的知识竞赛,进入决赛的共有20名学生,他们的决赛成绩如下表所示:
决赛成绩/分 | 95 | 90 | 85 | 80 |
人数 | 4 | 6 | 8 | 2 |
那么20名学生决赛成绩的众数和中位数分别是( )
A. 85,90 B. 85,87.5 C. 90,85 D. 95,90