题目内容

【知识链接】

(1)有理化因式:两个含有根式的非零代数式相乘,如果它们的积不含有根式,那么这两个代数式相互叫做有理化因式.

例如: 的有理化因式是;1﹣的有理化因式是1+

(2)分母有理化:分母有理化又称“有理化分母”,也就是把分母中的根号化去.指的是如果代数式中分母有根号,那么通常将分子、分母同乘以分母的有理化因式,达到化去分母中根号的目的.如:

【知识理解】

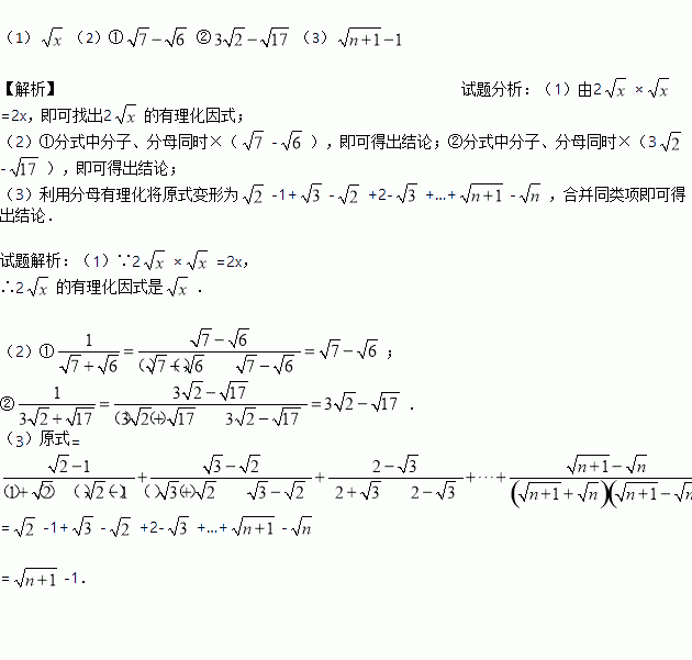
(1)填空:2的有理化因式是

(2)直接写出下列各式分母有理化的结果:

= ;②=

【启发运用】

(3)计算:

练习册系列答案
相关题目

违法和不良信息举报电话:027-86699610 举报邮箱:58377363@163.com

精英家教网