题目内容
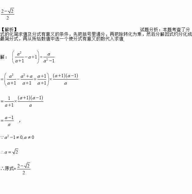
先化简,再从中选一个你认为合适的数作为的值代人求值。
如图,将一副三角板的直角顶点重合,摆放在桌面上,若∠BOC=∠AOD,则∠AOD=____.
某乡村距城市50km,甲骑自行车从乡村出发进城,出发1小时30分后,乙骑摩托车也从乡村出发进城,结果比甲先到1小时,已知乙的速度是甲的2.5倍,求甲、乙两人的速度。
【答案】甲速12km/h,乙速30km/h.
【解析】试题分析:设甲的速度是则乙的速度是甲、乙所用时间分别为: 小时、小时;根据题意可得甲比乙多用2.5小时,从而可得关于的方程,解方程即可解答此题;注意,最后要结合题意验根.
试题解析:设甲的速度是则乙的速度是 根据题意列方程,得
整理,得
,
解得:
经检验, 是原方程的解.
则
答:甲的速度是12km/h,乙的速度是30km/h.
【题型】解答题【结束】24
已知求的值 。
如图所示,在RtΔACB中,∠C=90°,AD平分∠BAC,若BC=16,BD=10,则点D到AB的距离是( )
A. 9 B. 8 C. 7 D. 6
选取二次三项式中的两项,配成完全平方式的过程叫配方.
例如:①选取二次项和一次项配方: ;
②选取二次项和常数项配方: ,或
③选取一次项和常数项配方:
根据上述材料,解决下面问题:
(1)写出的两种不同形式的配方;
(2)已知,求的值.
若关于的分式方程 无解,则的值为________.
已知a>0,b>0,且,则的值为( )
A. 1 B. 2 C. D.
下列式子按一定规律排列 , , , ……则第2017个式子是________.
抛物线y=(x﹣1)2+3的顶点坐标是( )
A. (1,3) B. (﹣1,3) C. (﹣1,﹣3) D. (1,﹣3)