题目内容
下图是某几何体的三视图,则这个几何体是( )
A. 棱柱 B. 圆柱 C. 棱锥 D. 圆锥
当a=2时,|1-a|=______.
若与是同类项,则的值分别为( )
A. 1、1 B. 5、3 C. 5、1 D.
如图,在△ABC中,AB=AC,D、E、F分别为AB、BC、AC的中点,则下列结论:①△ADF≌△FEC;②四边形ADEF为菱形;③。其中正确的结论是____________.(填写所有正确结论的序号)
体育测试中,小进和小俊进行800米跑测试,小进的速度是小俊的1.25倍,小进比小俊少用了40秒,设小俊的速度是米/秒,则所列方程正确的是( )
A. B.
C. D.
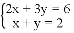
(1)阅读下列材料并填空:
对于二元一次方程组,我们可以将x,y的系数和相应的常数项排成一个数表,求得的一次方程组的解,用数表可表示为.用数表可以简化表达解一次方程组的过程如下,请补全其中的空白:
从而得到该方程组的解为x= ,y= .
(2)仿照(1)中数表的书写格式写出解方程组的过程.
计算|
9的平方根是( )
A. ±3 B. ﹣3 C. 3 D.
某小组做“用频率估计概率”的试验时,统计了某一结果出现的频率,绘制了如图所示的折线统计图,则符合这一结果的试验最有可能的是( )
A. 在“石头、剪刀、布”的游戏中,小明随机出的是“剪刀”
B. 一副去掉大小王的普通扑克牌洗匀后,从中任抽一张牌的花色是红桃
C. 暗箱中有1个红球和2个黄球,它们只有颜色上的区别,从中任取一个球是黄球
D. 掷一个质地均匀的正方体骰子,向上的面的点数是4