题目内容
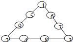
24、将1~9这九个数字填入下图的“O”,使每条边上的四个数字的和都等于17.

分析:首先令1、2、3三个数字作为该图形的三个顶点,此时三边上数字的和分别为:3、4、5在1~9这九个数字中,由5+9=14、6+7=13、4+8=12、依次将这三组数填入对应的三边即可得出所要求的图形.
解答:解:由题意可得:
填入数字后的图形如下图所示:

三边:1+5+9+2=2+4+8+3=1+6+7+3=17.
填入数字后的图形如下图所示:
三边:1+5+9+2=2+4+8+3=1+6+7+3=17.
点评:本题是一道关于图形变化规律型的问题,关键在于根据题意得出数字之间的关系:1+5+9+2=2+4+8+3=1+6+7+3=17,依次填入三边即可求出要求的图形.
练习册系列答案
相关题目