题目内容
化简:
若点A(x,3)与点B(2,y)关于x轴对称,则( )
A. x=2,y=3 B. x=2,y=-3 C. x=-2,y=3 D. x=-2,y=-3
计算: (1)(+)(﹣)﹣(+3)2; (2).
如图所示,四边形ABCD中,对角线AC,BD相交于点O,下列条件不能判定这个四边形是平行四边形的是 ( )
A. AB∥DC,AD∥BC
B. AB=DC,AD=BC
C. AO=CO,BO=DO
D. AB∥DC,AD=BC
一次函数的图象经过点.
(1)求出这个一次函数的表达式;
(2)在平面直角坐标系中准确地画出这个函数的图象;
(3)已知这个函数的图象分别与轴、轴相交于点、,点,求的面积.
测得某人的一根头发直径约为0.0000715米,将0.0000715用科学记数法表示为_____.
已知甲、乙两个函数图像上部分点的横坐标x与对应的纵坐标y分别如下表所示.若这两个函数图像仅有一个交点,则交点的纵坐标y是( )
A. 0 B. 1 C. 2 D. 3
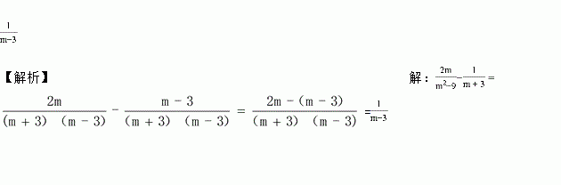
计算: __________.
(10分)已知:如图,在△ABC中,AB=AC,AD⊥BC,垂足为点D,AN是△ABC外角∠CAM的平分线,CE⊥AN,垂足为点E,猜想四边形ADCE的形状,并给予证明.