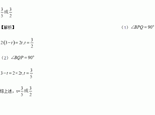
题目内容
如图,△ABC是边长3cm的等边三角形,动点P、Q同时从A、B两点出发,分别沿AB、BC方向匀速移动,点P的速度都是1cm/s,点Q的速度都是2cm/s当点P到达点B时,P、Q两点停止。当t=______________时,△PBQ是直角三角形.
![]()
练习册系列答案
相关题目
题目内容
如图,△ABC是边长3cm的等边三角形,动点P、Q同时从A、B两点出发,分别沿AB、BC方向匀速移动,点P的速度都是1cm/s,点Q的速度都是2cm/s当点P到达点B时,P、Q两点停止。当t=______________时,△PBQ是直角三角形.
![]()