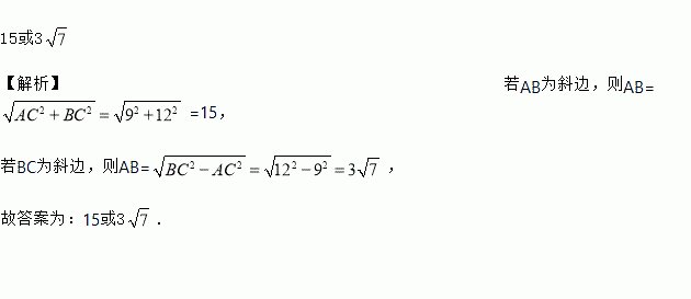
题目内容
在Rt△ABC中,AC=9,BC=12,则AB=________.
练习册系列答案
相关题目
“水是生命之源”,某城市自来水公司为了鼓励居民节约用水,规定按以下标准收取水费:用水量/月•单价(元/m3)
用水量 | 单价(元/m3) |
不超过40m3 | 1.2 |
超过40m3的部分 | 1.7 |
(1)如果1月份该用户用水量为34m3,那么该用户1月份应该缴纳水费多少元?
(2)某用户2月份共缴纳水费65元,那么该用户2月份用水多少m3?
(3)若该用户水表3月份出了故障,只有70%的用水量记入水表中,这样该用户在3月份只缴纳了63.3元水费,那么该用户3月份实际应该缴纳水费多少元?