题目内容
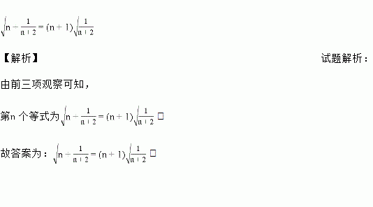
观察下列各式:,,,请你将发现的规律用含(为正整数)的等式表示出来为__________.
在一个不透明的盒子中装有个白球,个黄球,它们除颜色不同外,其余均相同.从中随机摸出一个球,若摸出白球的概率为,则的值应为__________.
若,则的平方根是__________________.
若a是的平方根,b的一个平方根是2,则代数式a+b的值为( )
A. 8 B. 0 C. 8或0 D. 4或-4
已知:如图,,,求的面积.
若关于、的方程组无解,则系数的值为__________.
下列结论正确的有__________(填序号).
①如果,;那么 ②如果;那么 ③如果,那么;
④如果,那么.
⑴ 一个数的平方等于它的本身的数是____________
⑵ 平方根等于它的本身的数是______________
⑶ 算术平方根等于它的本身的数是__________
⑷ 立方根等于它的本身的数是______________
⑸ 大于0且小于π的整数是________________
⑹ 满足<x <的整数x是_______
为了支援地震灾区同学,某校开展捐书活动,八(1)班40名同学积极参与.捐书数量在5.5~6.5组别的频数8,则频率是 .