题目内容
如图,将边长为8㎝的正方形ABCD折叠,使点D落在BC边的中点E处,点A落在F处,折痕为MN,则线段CN的长是( )
A. 3cm B. 4cm C. 5cm D. 6cm
如图,动点P从(0,3)出发,沿箭头所示方向运动,每当碰到矩形的边时反弹,反弹时反射角等于入射角.当点P第2018次碰到矩形的边时,点P的坐标为( )
A. (1,4) B. (5,0) C. (7,4) D. (8,3)
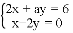
二元一次方程组 的正整数解有( )组解
A. 0 B. 3 C. 4 D. 6
如图,AB=AD ,∠BAD=∠CAE,AC=AE ,求证:BC=DE
点O是△ABC内一点,且点O到三边的距离相等,∠A=60°,则∠BOC的度数为_______.
如图,A类、B类卡片为正方形,C类卡片为长方形,现有A类卡片4张,B类卡片1张, 张,C类卡片4张,则这9张卡片能拼成的正方形的边长是( )
A. B. C. D.
如图所示,在△ABC中,D是BC边上一点,∠1=∠2,∠3=∠4,∠BAC=63°,求∠DAC的度数.
一个正n边形的每个外角均为40°,则n=( )
A. 6 B. 7 C. 8 D. 9
一元二次方程的两个根为,且则k=____。