题目内容
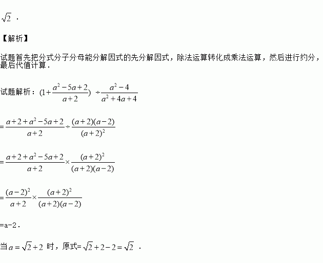
先化简,后求值:![]()
,其中![]()
练习册系列答案
相关题目
铁岭“荷花节”举办了为期15天的“荷花美食”厨艺秀.小张购进一批食材制作特色美食,每盒售价为50元,由于食材需要冷藏保存,导致成本逐日增加,第x天(1≤x≤15且x为整数)时每盒成本为p元,已知p与x之间满足一次函数关系;第3天时,每盒成本为21元;第7天时,每盒成本为25元,每天的销售量为y盒,y与x之间的关系如下表所示:
第x天 | 1≤x≤6 | 6<x≤15 |
每天的销售量y/盒 | 10 | x+6 |
(1)求p与x的函数关系式;
(2)若每天的销售利润为w元,求w与x的函数关系式,并求出第几天时当天的销售利润最大,最大销售利润是多少元?
(3)在“荷花美食”厨艺秀期间,共有多少天小张每天的销售利润不低于325元?请直接写出结果.
七年级学生完成课题学习“从数据谈节水”后,积极践行“节约用水,从我做起”,下表是从七年级400名学生中选出10名学生统计各自家庭一个月的节水情况:
节水量(m3) | 0.2 | 0.25 | 0.3 | 0.4 | 0.5 |
家庭数(个) | 1 | 2 | 2 | 4 | 1 |
那么这组数据的众数和平均数分别是
A.0.4和0.34 B.0.4和0.3 C.0.25和0.34 D.0.25和0.3