题目内容
先化简,后求值:
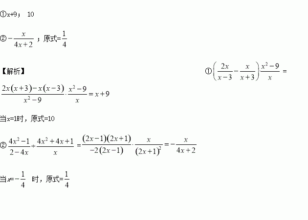
①,,其中x=1
②其中x=.
先化简,再求值:
2x2+(-x2-2xy+2y2)-3(x2-xy+2y2),其中x=2,y=-.
下列三条线段中(单位长度都是cm),能组成三角形的是( )
A. 3,4,9 B. 50,60,12 C. 11,11,31 D. 20,30,50
已知,,则=________.
在数轴上有一点A,它所对应表示的数是3,若将点A在数轴上先向左移动8个单位长度,再向右移动4个单位长度得点B,此时点B所对应表示的数( )
A. 3 B. C. D. 4
① ②
分解因式_________
如图,△ABO≌△CDO,点E、F在线段AC上,且AF=CE.
求证:FD=BE.
兄弟俩集邮,哥哥的邮票比弟弟多,弟弟的邮票比哥哥少( )
A. B. C. D.