题目内容

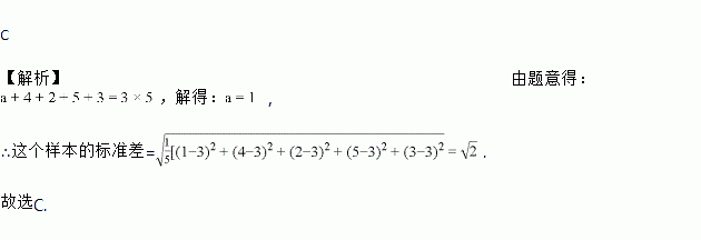
已知一个样本a , 4,2,5,3,它的平均数是3,则这个样本的标准差为(  ).

A. 0                                           B. 1                                           C.                                            D. 2

练习册系列答案
相关题目

违法和不良信息举报电话:027-86699610 举报邮箱:58377363@163.com

精英家教网