题目内容
自由下落物体下落的高度h与下落的时间t之间的关系为h=gt2(g=9.8m/s2),在这个变化中,变量为( )
A. h,t B. h,g C. t,g D. t
在下列各数:-2,-2.5,0,1,6中,不等式x>1的解有__________;不等式-x>1的解有__________.
如图,直线y1=与y2=﹣x+3相交于点A,若y1<y2,那么( )
A. x>2 B. x<2 C. x>1 D. x<1
不等式组的解集是__________.
下列四个数中,为不等式组的解的是( )
A. -1 B. 0 C. 1 D. 2
某次世界杯足球赛前,小李在网上预定了小组赛和淘汰赛两个阶段的球票共10张,总价为5800元,其中小组赛球票每张550元,淘汰赛球票每张700元.
(1)设小李预定的小组赛和淘汰赛的球票分别为x张、y张,你能列出相应的方程组吗?
(2)是方程组的解吗?
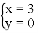
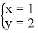
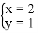
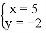
二元一次方程组的解是( )
A. B. C. D.
已知xy<0,则______.
在学校组织的文艺晚会上,掷飞标文艺区游戏规则如下:如图掷到A区和B区的得分不同,A区为小圆内部分,B区为大圆内小圆外的部分(掷中一次记一个点).现统计小华、小芳和小明掷中与得分情况如下:
(1)求掷中A区、B区一次各得多少分?
(2)依此方法计算小明的得分为多少分?