题目内容
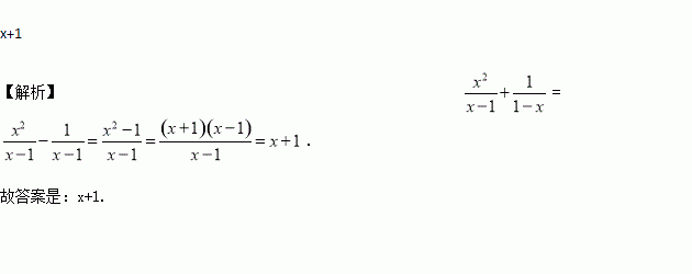
计算的结果为__________.
关于x的一元二次方程(m﹣1)x2+5x+m2﹣3m+2=0的常数项为0,则m等于( )
A. 1 B. 2 C. 1或2 D. 0
绝对值不大于的所有非正整数的和为___________.
已知抛物线C1:y=ax2经过(-1,1)
(1) C1的解析式为___________,顶点坐标为___________,对称轴为___________
(2) 如图1,直线l:y=kx+2k-2经过定点P,过P的另一直线交抛物线C1于A、B两点.当PA=AB时,求A点坐标
(3) 如图2,将C1向下平移h(h>0)个单位至C2,M(-2,b)在C2图象上,过M作设MD、ME分别交抛物线于D、E.若△MDE的内心在直线y=b上,求证:直线DE一定与过原点的某条定直线平行
解方程:3(x-5)=7x-1
如图是由几个小立方块所拼成的几何体的俯视图,小正方形中的数字表示该位置小立方块的个数,则该几何体的左视图是( )
A B C D
如图1,抛物线与x轴交于A(1,0),B(4,0),与y轴交于点C.
(1)求抛物线的解析式;
(2)抛物线上一点D,满足,求点D的坐标;
(3)如图2,已知N(0,1),将抛物线在点A、B之间部分(含点A、B)沿轴向上翻折,得到图象T(虚线部分),点M为图象T的顶点,现将图象T保持其顶点在直线MN上平移,得到的图象T1与线段BC至少有一个交点,求图象T1的顶点横坐标的取值范围.
下列方程中没有实数根的是( )
A. x2-x-1=0 B. x2+3x+2=0 C. 3x2+2x-2=0 D. x2+x+2=0
已知:如图,AB=AE,∠1=∠2,∠B=∠E.求证:BC=ED.