搜索
题目内容
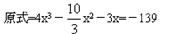
先化简
,再求值
(1)
,其中
试题答案
相关练习册答案
练习册系列答案
课课练与单元测试系列答案
世纪金榜小博士单元期末一卷通系列答案
单元测试AB卷台海出版社系列答案
黄冈新思维培优考王单元加期末卷系列答案
名校名师夺冠金卷系列答案
小学英语课时练系列答案
培优新帮手系列答案
天天向上一本好卷系列答案
小学生10分钟应用题系列答案
课堂作业广西教育出版社系列答案
相关题目
先化简,再求值:
2a-6
a-2
÷(
5
a-2
-a-2)
,其中
a=-3
1
2
.
21、先化简,再求值:3x
2
+(2-3x-x
2
)-(x
2
+x-1),其中x=-1.
计算:(1)
2
(2cos45°-sin60°)+
24
4
.
(2)先化简,再求值
a
2
-1
a+3
÷
a+1
2
,其中a=2tan60°-3.
(1)先化简,再求值:
(x-
x
x+1
)
÷
(1+
1
x
2
-1
)
,其中x=
3
-1.
(2)解分式方程:解方程:
1
x-2
+3=
x-1
2-x
.
(3)解不等式组
x-2
3
+3<x-1 ①
1-3(x+1)≥6-x ②
先化简,再求值:
-9y+6
x
2
-3(y-
2
3
x
2
)
,其中x=2,y=-1.
关 闭
试题分类
高中
数学
英语
物理
化学
生物
地理
初中
数学
英语
物理
化学
生物
地理
小学
数学
英语
其他
阅读理解答案
已回答习题
未回答习题
题目汇总
试卷汇总
练习册解析答案