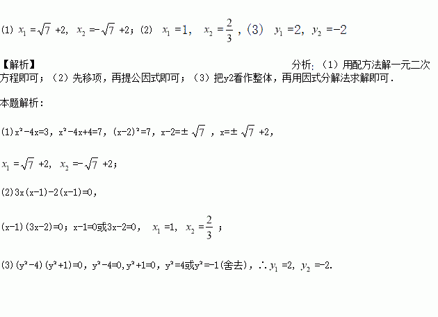
题目内容
解下列方程
(1);(2);(3).
下列事件中必然事件的个数有( )
①当x时非负实数时, ≥0;
②打开数学课本时刚好翻到第12页;
③13个人中至少有2人的生日是同一个月.
A. 0个 B. 1个 C. 2个 D. 3个
若 | | =-,则一定是( )
A. 负数 B. 正数 C. 负数或0 D. 0
计算; =_______; =_________; _________;
____________________ ;
某公司投资新建了一商场,共有商铺30间.据预测,当每间的年租金定为10万元时,可全部租出.每间的年租金每增加5 000元,少租出商铺1间.该公司要为租出的商铺每间每年交各种费用1万元,未租出的商铺每间每年交各种费用5 000元.
(1)当每间商铺的年租金定为13万元时,能租出多少间?
(2)当每间商铺的年租金定为多少万元时,该公司的年收益(收益=租金-各种费用)为275万元?
若是方程+2=0的两根,则的值为________.
已知抛物线的顶点为P,与x轴的两个交点为A,B,那么△ABP的面积等于( )
A. 16 B. 8 C. 6 D. 4
已知集合,且
使中元素和中的元素对应,则的值分别为()
A. B. C. D.
如果与(b-1)2互为相反数, 那么代数式的值是( )
A. 1 B. -1 C. ±1 D. 2008