题目内容
如图,已知抛物线y=x2+bx+c经过矩形ABCD的两个顶点A、B,AB平行于x轴,对角线BD与抛物线交于点P,点A的坐标为(0,2),AB=4.(1)求抛物线的解析式;
(2)若S△APO=
【答案】分析:(1)已知了A点坐标和AB的长,即可得出B点坐标,然后将A、B两点的坐标代入抛物线中,即可求出抛物线的解析式.
(2)根据三角形APO的面积可求出P点的横坐标,将其代入抛物线的解析式中即可求得P点的坐标.过P作PE⊥OA于E,通过构建的相似三角形DPE和DBA,可求出AD的长,有了长和宽即可求出矩形的面积.(也可通过求直线BP的解析式得出D点坐标来求出AD的长)
解答:解:
(1)由题意得,B点坐标为(4,2)
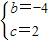
将点A(0,2),B(4,2)代入二次函数解析式得:

解得:
∴抛物线的解析式为y=x2-4x+2
(2)由S△APO=
可得:
OA•|xp|=
,即
×2×|xp|=
∴xp=
(负舍)
将xp=
代入抛物线解析式得:yP=-
过P点作垂直于y轴的垂线,垂足为E
∵△DEP∽△DAB
∴
解得:AD=6
∴S矩形ABCD=24.
点评:本题主要考查了矩形的性质、二次函数解析式的确定、图形面积的求法等知识点.
(2)根据三角形APO的面积可求出P点的横坐标,将其代入抛物线的解析式中即可求得P点的坐标.过P作PE⊥OA于E,通过构建的相似三角形DPE和DBA,可求出AD的长,有了长和宽即可求出矩形的面积.(也可通过求直线BP的解析式得出D点坐标来求出AD的长)
解答:解:
(1)由题意得,B点坐标为(4,2)
将点A(0,2),B(4,2)代入二次函数解析式得:
解得:
∴抛物线的解析式为y=x2-4x+2
(2)由S△APO=
∴xp=
将xp=
过P点作垂直于y轴的垂线,垂足为E
∵△DEP∽△DAB
∴
解得:AD=6
∴S矩形ABCD=24.
点评:本题主要考查了矩形的性质、二次函数解析式的确定、图形面积的求法等知识点.
练习册系列答案
相关题目