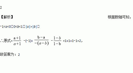
题目内容
有理数a,b在数轴上对应位置如图,代数式值是________-.
若|m|=3,|n|=5,且m-n>0,则m+n的值是( )
A. -2 B. -8或8 C. -8或-2 D. 8或-2
方程2x2-3x+1=0化为(x+a)2=b的形式,正确的是( )
A. B. C. D. 以上都不对
下列各图中,不是中心对称图形的是( )
A. B. C. D.
已知△ABC的周长为20,△ABC的内切圆与边AB相切于点D,AD=4,那么BC=__________.
如图,点E是□ABCD 边AD上一点,请你只用一把没有刻度的直尺,在BC边上确定一点F,使得CF=AE,请画出示意图,并用你学过的知识验证CF=AE。
是整数,则正整数n的最小值是_________.
如图,直升飞机在资江大桥AB的上方P点处,此时飞机离地面的高度PO=450米,且A、B、O三点在一条直线上,测得大桥两端的俯角分别为α=30°,β=45°,求大桥的长AB.
下列四个命题中,正确的有( )
①圆的对称轴是直径;
②经过三个点一定可以作圆;
③三角形的外心到三角形各顶点的距离都相等;
④半径相等的两个半圆是等弧.
A. 4个 B. 3个 C. 2个 D. 1个