题目内容
计算:
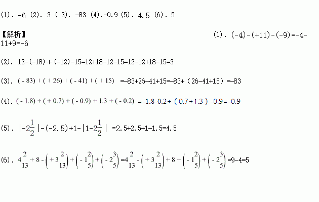
(1).(-4)-(+11)-(-9) (2). 12-(-18)+(-12)-15
(3).
(4). ![]()
(5).|-
|-(-2.5)+1-|1-
| (6).![]()
练习册系列答案
相关题目
某厂检测员对编号①、②、③、④、⑤的五只手表进行走时准确性测试,一天24小时比标准时间快记为正,慢记为负,单位:秒。记录如下:
① | ② | ③ | ④ | ⑤ |
-5 | +3 | +2 | -1 | -4 |
仅从走时准确性来考虑,第______号手表质量好一些.