题目内容
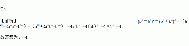
若ab=1,则(an-bn)2-(an+bn)2=________.
如图,每一个图形都是由正方形按一定规律组成的,其中第①个图形中一共有9个正方形,第②个图形中一共有17个正方形,第③个图形中一共有25个正方形,…,按此规律排列,则第⑧个图形中正方形的个数为( )
A. 38 B. 44 C. 65 D. 73
在等腰三角形ABC中,AB=AC,一边上的中线BD将这个三角形的周长分为18和15两部分,求这个等腰三角形的底边长.
下列条件中,不能判定△ABC≌△A′B′C′,的是( )
A. ∠A=∠A,∠C=∠C,AC=A′C′
B. ∠B=∠B′,BC=B′C′,AB=A′B′
C. ∠A=∠A′=80°,∠B=60°,∠C′=40°,AB=A′B′
D. ∠A=∠A′,BC=B′C′,AB=A′B′
已知多项式x2-mx-n与x-2的乘积中不含x2项和x项,求m,n的值.
若2m·23=26,则m=________.
如图,在边长为2a的正方形中央剪去一边长为(a+2)的小正方形(a>2),将剩余部分剪开密铺成一个平行四边形,则该平行四边形的面积为 ( )
A. a2+4 B. 2a2+4a C. 3a2﹣4a﹣4 D. 4a2﹣a﹣2
如图,一艘轮船位于灯塔P的北偏东60°方向,与灯塔P的距离为30海里的A处,轮船沿正南方向航行一段时间后,到达位于灯塔P的南偏东30°方向上的B处,则此时轮船所在位置B处与灯塔P之间的距离为( )
A. 60海里 B. 45海里 C. 20海里 D. 30海里
如图,BCE、AFE是直线,AB∥CD,∠1=∠2,∠3=∠4,求证:AD∥BE.