题目内容
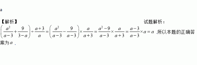
化简: =_____.
用四个完全一样的长方形(长、宽分别设为x、y)拼成如图所示的大正方形,已知大正方形的面积为36,中间空缺的小正方形的面积为4,则x2+y2=_______
因式分【解析】=_________________;
解不等式--x≤-1,去分母,得( )
A. 3(2x-1)-5x+2-6x≤-6 B. 3(2x-1)-(5x+2)-6x≥-6
C. 3(2x-1)-(5x+2)-6x≤-6 D. 3(2x-1)-(5x+2)-x≤-1
如图,菱形ABCD的对角线AC,BD相交于点O,且DE∥AC,AE∥BD.求证:四边形AODE是矩形.
若二次函数y=x2+mx的对称轴是x=3,则关于x的方程x2+mx=7的解为( )
A. x1=0,x2=6 B. x1=1,x2=7 C. x1=1,x2=﹣7 D. x1=﹣1,x2=7
将不等式3x-2<1的解集表示在数轴上,正确的是( )
A. B.
C. D.
分解因式:______.
如图,将?ABCD的边DC延长到点E,使CE=DC,连接AE,交BC于点F.
(1)求证:△ABF≌△ECF;
(2)若∠AFC=2∠D,连接AC、BE,求证:四边形ABEC是矩形.